当前位置 >> 首页 >> 学习园地 >>  业内热点

业内热点

物理所等在二维原子晶体VTe2的近藤效应研究中获进展

稿件来源:物理研究所 责任编辑:ICAC 发布时间:2020-01-02

  近藤效应来源于非磁金属中微量的磁性杂质散射。由于非磁性主体的传导电子与磁性杂质的局域磁矩相互作用,电阻率在低温下出现极小值。磁性杂质对电阻的贡献与温度成对数关系:Δρ = –clnT,其中T是温度,c是取决于主体金属及磁性杂质的种类和浓度的参数。当温度低于特征温度——近藤温度TK时,磁性杂质的自旋将被屏蔽,形成总自旋为零的多体单重态的基态,即Kondo单态。由于Kondo单态的非磁性散射,电阻率在温度接近0K时趋于饱和。

  近年来,少层二维原子晶体CrI3和Cr2Ge2Te6等本征铁磁性的发现激发了二维磁性材料的研究热潮。理论预测单层钒基过渡金属硫族化合物(TMD)VX2(X = S,Se,Te)为本征铁磁性材料,单层VSe2的室温铁磁性已在实验上观测到,然而,随着层数的增加,VSe2中的铁磁性迅速减弱,由于其块体材料的顺磁性,VSe2的本征铁磁性仍存在争议。单层VSe2的磁性可能来源于缺陷或边界态,而块体VSe2的磁性可能来源于插层的钒离子。微量的插层钒离子由于存在未配对的3d电子而出现局域磁矩,从而引起近藤效应(Kondo effect)。 V5S8(或V0.25VS2)中大量的插层钒离子组成有序的晶格使其表现为反铁磁序,而在V5S8纳米片中,随厚度减小,反铁磁序受到抑制,出现弱的铁磁性。如上所述,VX2中插层钒离子的未成对局域d电子会引起局域磁矩甚至磁有序。但是,VTe2是否存在本征铁磁性以及插层钒离子是否会形成局域磁矩国际上还鲜有报道,值得深入研究。

  中国科学院院士、中国科学院物理研究所/北京凝聚态物理国家研究中心研究员高鸿钧带领的研究团队多年来一直致力于新型二维原子晶体材料的制备、物性调控及原型器件等方面的研究。在基于钒的过渡金属硫族化合物VX2(X = S,Se,Te)的研究中取得一系列研究成果,包括单层VSe2的分子束外延可控制备[Sci. Bull. 63, 419 (2018)]及其一维图案化、功能化[Nano Lett. 19, 4897 (2019)],少层VSe2单晶绝缘衬底上的可控制备及弱反局域化量子输运[Nano Lett. 19, 4551 (2019)]等。近期,该课题组博士后刘洪涛和副研究员鲍丽宏等利用化学气相沉积(CVD)法成功制备了VTe2的单晶纳米片,并对其低温电子输运特性进行了系统研究。

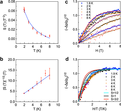
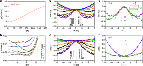
  首先,他们采用升华盐辅助的方法制备了1T相多层VTe2纳米片,通过光学显微镜、原子力显微镜(AFM)、X射线衍射(XRD)、X射线光电子能谱(XPS)、扫描电子显微镜(SEM)和透射电子显微镜(TEM)等对其进行了详细的表征(图1,图2),证实所制备的VTe2纳米片为高质量的1T相单晶。低温输运测试结果表明VTe2纳米片为金属,没有本征的长程铁磁序(图3),只有与局域磁矩相关的近藤效应,具体表现为低温电阻率极小值以及与磁场方向无关的负磁阻(图3)。局域磁矩通过各向同性的s-d交换作用对传导电子的散射导致电阻率极小值和低磁场下的负磁阻。Hamann方程很好地拟合了低温电阻率的增加,不同温度下的负磁阻可用S = 1/2的布里渊函数进行拟合(图4)。密度泛函理论(DFT)计算表明,局域磁矩主要来源于VTe2中的插层钒离子(图5),碲空位与钒空位等缺陷对局域磁矩几乎没有贡献。

  该工作为单层VX2的制备与物性研究提供了一种思路,也会促进二维过渡金属硫族化合物的磁性、强关联和多体物理的研究。相关工作发表在Nano Letters 上(Nano Lett. 19, 8572-8580 (2019))。刘洪涛和深圳大学博士薛运周为共同第一作者,鲍丽宏为通讯作者。该工作的合作者还包括中国科学院大学教授周武等。该工作获得国家自然科学基金委(61674170, 61888102)、科技部(2016YFA0202300, 2018FYA0305800)和中科院(XDB30000000, XDB28000000, 20150005)的支持。

  文章链接 

   

  图1. 通过升华盐辅助的常压CVD法生长的VTe2纳米片的形貌与结构表征。(a)1T相VTe2的原子结构模型。(b)在云母上生长的六边形VTe2纳米片的光学图像。黑线为站立生长的VTe2纳米片。(c)厚度为75.5 nm的VTe2纳米片的AFM图像和高度轮廓。(d)VTe2纳米片的室温XRD衍射谱。

   

  图2. 1T相VTe2纳米片的透射电镜(TEM)表征。(a)VTe2纳米片的低倍数TEM图像以及(b)钒和(c)碲元素的EDS 能谱成像图。(a)中插图是纳米片的选区电子衍射。(d)VTe2纳米片的HAADF-STEM图像及局部放大图(e)。晶带轴为<001>。Te原子较亮,V原子的对比度较弱。绿点和红点分别对应于Te原子和V原子。(f)在EELS成像时获取的HAADF-STEM图像。(g)V L2,3 吸收边EELS成像,(h)Te M4,5 吸收边EELS成像,和(i)RGB彩色图EELS图像。红色为V原子,绿色为Te原子。

   

  图3. VTe2纳米片的低温电输运特性。(a)电阻率与温度的关系。插图为器件的光学图像。(b)不同磁场下的低温电阻率。温度为对数坐标。实线为Kondo模型拟合曲线。(c,d)不同温度下的磁阻。(c)中磁场垂直于样品平面(横向磁阻)。(d)中磁场平行于样品平面(纵向磁阻)。(e)1.9 K下横向与纵向磁阻对比。(f)20 K横向与纵向磁阻对比。实线为常规磁阻拟合曲线:MR(%) = aH2 + b

   

  图4. 低温下的低场负磁阻特性。拟合参数S(T)(a)和 [S(T)]-1/2(b)与温度的关系。(a)和(b)中的实线分别为温度平方的倒数及线性拟合。(–Δρ/ρ0)1/2与H的关系图(c)及其与H/T的关系图(d)。(c,d)中的实线是布里渊函数拟合曲线,(c)中S = 1/2。

   

  图5. 含插层钒离子的VTe2的原子结构(a)及投影态密度(b)。费米能级设为零。正、负态密度分别对应于自旋向上和自旋向下。

附件:
相关新闻:
微电子所等在二维材料异质结构光电器件研究中取得进展
新型二维原子晶体材料单层二硒化钒的“一维图案化”及其功能化研究获进展